Uluslararası Uzay İstasyonundaki astronotlar neden havada süzülüyor gibi görünüyor? Bu soruyu herhangi bir kişiye sorarsanız alacağınız cevap “uzayda yerçekimi olmadığı için” biçiminde olacaktır. Ancak bu cevap tam olarak doğru sayılmaz.

Uzayda sıfır yer çekimi diye bir şey yoktur. Yer çekimi her yerdedir. Bu esnada kendinizi ağırlıksız hissedersiniz ama aslında ağırlıksız olmazsınız
Uluslararası Uzay İstasyonu atmosferden yaklaşık 408 kilometre yüksektedir. Ayrıca hepimiz yerçekiminin yükseklikle azaldığını biliyoruz. Sonucunda dünya üzerinde herhangi bir kütleye sahip olan herhangi bir şey, yerçekiminin etkisi altında kalır. Yerçekimi nedeniyle nesneler yere düşer ve belli bir ağırlığımız olur. Ancak Newton’un gösterdiği gibi Dünya’dan (veya genel olarak herhangi bir nesneden) uzaklığınız artırdıkça, yer çekimi kuvveti önemli ölçüde azalır.
Uzayda Yerçekimi Yok mu?
Ancak tüm bunlar uzayda yerçekimi olmadığı anlamına gelmez. Bazı insanlar uzayda yerçekiminin olmadığını düşünse de uzayın her yerinde değişen miktarlarda yerçekimi bulunur. Ay’ı Dünya’nın etrafında yörüngede tutan şey yerçekimidir. Yerçekimi Dünya’nın Güneş etrafında dönmesine de neden olur. Güneşi Samanyolu galaksisindeki yerinde tutar. Bu nedenle uzayda yerçekimi vardır.
Yerçekimi kuvveti kütlesi olan nesneler arasındaki etkileşimdir. Dünyanın kütlesi vardır ve astronotun kütlesi vardır; dolayısıyla aralarında da bir etkileşim olmalıdır. Bu çekim kuvveti aşağıdaki ifadeyle gösterilmektedir.

Büyük ve küçük m harfleri sırasıyla dünyanın etkileşime giren diğer nesnenin kütlesini göstermektedir. G ise yer çekimi sabitidir
Diyelim ki 75 kg’lık bir astronotumuz var. Astronotun hem dünyadaki hem de yörüngedeki kütlesi aynıdır. Tek fark astronot ile Dünya’nın merkezi arasındaki mesafedir. Şimdi yukardaki formülde m’lerden bir tanesini 75kg ile değiştirelim. Bu durumda astronotumuza dünyanın üzerindeyken yaklaşık 734 N’luk bir kuvvet etki etmektedir. Hesaplamasını aşağıda görebilirsiniz.

Şimdi aynı hesaplamayı dünyadan yaklaşık 360 kilometre yukarda duran aynı kilodaki bir başka astronot için yapalım. Aşağıda da gördüğünüz gibi sonucunuz 657 N çıkacaktır. Bu durumda astronotumuz için ağırlıksız demek çok da doğru değildir.

Diyebileceğimiz tek şey mesafe arttıkça yerçekimi zayıflar olur. Bir uzay aracının Dünya’dan yeterince uzağa gitmesi ve içindeki kişinin daha az yerçekimi hissetmesi mümkündür. Ancak kişilerin havada süzülmesinin nedeni yerçekimi olmaması değildir.
Uzayda Yerçekimi Varsa Astronotlar Neden Havada Duruyorlar?

Hava moleküllerinin ya da destekleyici yüzeylerin bulunmadığı uzay boşluğunda astronotlar yalnızca yerçekimiyle hareket eder. Bunun sonucunda da yerçekimi ivmesiyle Dünya’ya doğru düşerler. Sadece uzay aracı ve içindekiler değil aslında Ay’da dünyaya doğru düşüyor. Sonucunda dünyanın yerçekimi tüm nesneleri aşağıya, yüzeyine doğru çekiyor. Bunun anlamı mutlak bir düşüştür.
Eğer Dünya’nın yerçekiminin yaklaşık yüzde 90’ı uzay istasyonuna ulaşıyorsa astronotlar neden orada yerde yürümek yerine havada yüzüyor gibi gözüküyor? sorusunun cevabı da sizi başka ilginç bir gerçeğe götürecektir. Astronotların süzülmesinin nedeni uzayda yerçekimi olmamasının değil serbest düşüşün bir sonucudur.
Boşlukta yerçekimi tüm nesnelerin aynı hızda düşmesine neden olur. Nesnenin kütlesi önemli değildir. Bunu bowling topu ve tüy deneyinden anımsarsınız. Yerçekimi kuvvetinin düşmekte olan bir cisme sağladığı ivme kütlesinden bağımsızdır. Atmosfer içinde düşen bir cisme etki eden iki kuvvet vardır: yerçekimi ve hava sürtünmesi. Bir bowling topu ve tüyün farklı zamanlarda yere düşmesinin nedeni sadece hava sürtünmesidir. Ancak eğer ortamda hava yoksa, ikisinin de aynı anda yere düştüğüne şahit olursunuz.

Günümüzde bir çekiç ve tüy Ay’da yanyana duruyor.
1971 yılında Apollo 15 görevi sırasında Dave Scott yerçekimi kanunlarının Ay’da farklı işleyip işlemediğini anlamak istedi. Bu nedenle tüy ve bowling topu deneyini, bir şahin tüyü ve bir çekiç kullanarak tekrarladı. Sonuçta deney yapıldı ve iki nesnenin de yere aynı anda çarptığı görüldü. Bunun nedeni Ay’ın Dünya’nınkinden 10 katrilyon kat daha az yoğun bir atmosfere sahip olmasıydı. Bu iki cisim, halen düştükleri yerde yan yana durmaktadır.
Uzay Aracının Dünyaya Düşmesi Ne Anlama Geliyor?
Kafanızın tam üzerine doğru bir top fırlatırsanız, top yine size geri döneri. Ancak ileriye doğru fırlatırsanız öncelikle parabol çizerek bir miktar yükselir ve sonrasında da daha ileri bir noktada dünyaya geri çarpar. Aslında uzaya bir mekik yollamak da bir miktar buna benzer. Ancak fırlatılan roket, yüksek bir hız ve mesafeye ulaştığı için yerçekimi onu sürekli olarak aşağı doğru çekse bile roket dünyaya geri düşemez.

Astronotlar, yer çekimi kuvvetine karşı gelen hiçbir şey olmadığında kendilerini ağırlıksız hissederler. (A) Dünya üzerinde duran bir astronot ağırlıksız hissetmez çünkü yer, yerçekimi kuvvetine karşı koyan normal bir kuvvet oluşturur. (B) Dünyanın yörüngesinde dönen bir astronot ağırlıksız hisseder çünkü yerçekimi kuvvetine karşı koyacak bir yer veya normal kuvvet yoktur. Böylece astronot düşer. Ancak astronot da süper hızlı ilerlediği için Dünya’ya çarpmak yerine sürekli Dünya’nın etrafında düşer.
Roket Dünya’ya doğru düşmeye başlar ancak hızının yüksek olması nedeniyle bunun gerçekleşmesi biraz zaman alır. O zamana kadar Dünya biraz hareket eder ve dolayısıyla roket Dünya’ya düşmeyi ıskalar. Ve aynı hızı koruduğu durumda bu süreç devam eder.
Peki bunun astronotların havada neden yüzüyormuş gibi görünmesi ile ilgisi ne? Sebep aslında düşmeleri. Uluslararası Uzay İstasyonu Dünya’nın etrafında saatte yaklaşık 28.000 km’lik bir hızla hareket eder. Bu hız sonucunda, bir ipin ucunda sallanan bir top gibi, dünyanın etrafında dairesel bir yörüngede döner ve gezegenin eğriliğini takip eder. Uluslararası Uzay İstasyonu içinde havada yüzen nesneler görmüşsünüzdür. Aslına bakarsanız onlar da yüzmüyor, düşüyor. Hepsi birlikte düştüğü için mürettebat ve nesneler, uzay aracıyla karşılaştırıldığında yüzüyor gibi görünüyor.
Sonuç olarak
Dünya’nın atmosferini terk edip uzayın derinliklerine seyahat etseniz bile kendinizi yerçekimi tarafından bir gezegene, yıldıza ya da kara deliğe doğru çekilirken bulursunuz. Astronotlar sürekli serbest düşüş halindedir ve bu nedenle mikro yerçekimi ‘ağırlıksızlığını’ deneyimlerler. Mikro yer çekimine bazen “sıfır yer çekimi” denir, ancak bu yanıltıcıdır.

Uzayda sıfır yer çekimi diye bir şey yoktur. Yer çekimi her yerdedir. Bu esnada kendinizi ağırlıksız hissedersiniz ama aslında ağırlıksız olmazsınız
Uluslararası Uzay İstasyonu atmosferden yaklaşık 408 kilometre yüksektedir. Ayrıca hepimiz yerçekiminin yükseklikle azaldığını biliyoruz. Sonucunda dünya üzerinde herhangi bir kütleye sahip olan herhangi bir şey, yerçekiminin etkisi altında kalır. Yerçekimi nedeniyle nesneler yere düşer ve belli bir ağırlığımız olur. Ancak Newton’un gösterdiği gibi Dünya’dan (veya genel olarak herhangi bir nesneden) uzaklığınız artırdıkça, yer çekimi kuvveti önemli ölçüde azalır.
Uzayda Yerçekimi Yok mu?
Ancak tüm bunlar uzayda yerçekimi olmadığı anlamına gelmez. Bazı insanlar uzayda yerçekiminin olmadığını düşünse de uzayın her yerinde değişen miktarlarda yerçekimi bulunur. Ay’ı Dünya’nın etrafında yörüngede tutan şey yerçekimidir. Yerçekimi Dünya’nın Güneş etrafında dönmesine de neden olur. Güneşi Samanyolu galaksisindeki yerinde tutar. Bu nedenle uzayda yerçekimi vardır.
Yerçekimi kuvveti kütlesi olan nesneler arasındaki etkileşimdir. Dünyanın kütlesi vardır ve astronotun kütlesi vardır; dolayısıyla aralarında da bir etkileşim olmalıdır. Bu çekim kuvveti aşağıdaki ifadeyle gösterilmektedir.

Büyük ve küçük m harfleri sırasıyla dünyanın etkileşime giren diğer nesnenin kütlesini göstermektedir. G ise yer çekimi sabitidir
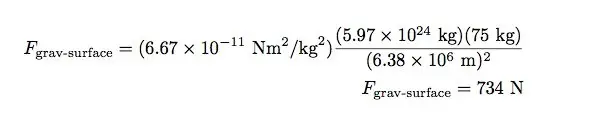
Diyelim ki 75 kg’lık bir astronotumuz var. Astronotun hem dünyadaki hem de yörüngedeki kütlesi aynıdır. Tek fark astronot ile Dünya’nın merkezi arasındaki mesafedir. Şimdi yukardaki formülde m’lerden bir tanesini 75kg ile değiştirelim. Bu durumda astronotumuza dünyanın üzerindeyken yaklaşık 734 N’luk bir kuvvet etki etmektedir. Hesaplamasını aşağıda görebilirsiniz.

Şimdi aynı hesaplamayı dünyadan yaklaşık 360 kilometre yukarda duran aynı kilodaki bir başka astronot için yapalım. Aşağıda da gördüğünüz gibi sonucunuz 657 N çıkacaktır. Bu durumda astronotumuz için ağırlıksız demek çok da doğru değildir.

Diyebileceğimiz tek şey mesafe arttıkça yerçekimi zayıflar olur. Bir uzay aracının Dünya’dan yeterince uzağa gitmesi ve içindeki kişinin daha az yerçekimi hissetmesi mümkündür. Ancak kişilerin havada süzülmesinin nedeni yerçekimi olmaması değildir.
Uzayda Yerçekimi Varsa Astronotlar Neden Havada Duruyorlar?

Hava moleküllerinin ya da destekleyici yüzeylerin bulunmadığı uzay boşluğunda astronotlar yalnızca yerçekimiyle hareket eder. Bunun sonucunda da yerçekimi ivmesiyle Dünya’ya doğru düşerler. Sadece uzay aracı ve içindekiler değil aslında Ay’da dünyaya doğru düşüyor. Sonucunda dünyanın yerçekimi tüm nesneleri aşağıya, yüzeyine doğru çekiyor. Bunun anlamı mutlak bir düşüştür.
Eğer Dünya’nın yerçekiminin yaklaşık yüzde 90’ı uzay istasyonuna ulaşıyorsa astronotlar neden orada yerde yürümek yerine havada yüzüyor gibi gözüküyor? sorusunun cevabı da sizi başka ilginç bir gerçeğe götürecektir. Astronotların süzülmesinin nedeni uzayda yerçekimi olmamasının değil serbest düşüşün bir sonucudur.
Boşlukta yerçekimi tüm nesnelerin aynı hızda düşmesine neden olur. Nesnenin kütlesi önemli değildir. Bunu bowling topu ve tüy deneyinden anımsarsınız. Yerçekimi kuvvetinin düşmekte olan bir cisme sağladığı ivme kütlesinden bağımsızdır. Atmosfer içinde düşen bir cisme etki eden iki kuvvet vardır: yerçekimi ve hava sürtünmesi. Bir bowling topu ve tüyün farklı zamanlarda yere düşmesinin nedeni sadece hava sürtünmesidir. Ancak eğer ortamda hava yoksa, ikisinin de aynı anda yere düştüğüne şahit olursunuz.

Günümüzde bir çekiç ve tüy Ay’da yanyana duruyor.
1971 yılında Apollo 15 görevi sırasında Dave Scott yerçekimi kanunlarının Ay’da farklı işleyip işlemediğini anlamak istedi. Bu nedenle tüy ve bowling topu deneyini, bir şahin tüyü ve bir çekiç kullanarak tekrarladı. Sonuçta deney yapıldı ve iki nesnenin de yere aynı anda çarptığı görüldü. Bunun nedeni Ay’ın Dünya’nınkinden 10 katrilyon kat daha az yoğun bir atmosfere sahip olmasıydı. Bu iki cisim, halen düştükleri yerde yan yana durmaktadır.
Uzay Aracının Dünyaya Düşmesi Ne Anlama Geliyor?
Kafanızın tam üzerine doğru bir top fırlatırsanız, top yine size geri döneri. Ancak ileriye doğru fırlatırsanız öncelikle parabol çizerek bir miktar yükselir ve sonrasında da daha ileri bir noktada dünyaya geri çarpar. Aslında uzaya bir mekik yollamak da bir miktar buna benzer. Ancak fırlatılan roket, yüksek bir hız ve mesafeye ulaştığı için yerçekimi onu sürekli olarak aşağı doğru çekse bile roket dünyaya geri düşemez.

Astronotlar, yer çekimi kuvvetine karşı gelen hiçbir şey olmadığında kendilerini ağırlıksız hissederler. (A) Dünya üzerinde duran bir astronot ağırlıksız hissetmez çünkü yer, yerçekimi kuvvetine karşı koyan normal bir kuvvet oluşturur. (B) Dünyanın yörüngesinde dönen bir astronot ağırlıksız hisseder çünkü yerçekimi kuvvetine karşı koyacak bir yer veya normal kuvvet yoktur. Böylece astronot düşer. Ancak astronot da süper hızlı ilerlediği için Dünya’ya çarpmak yerine sürekli Dünya’nın etrafında düşer.
Roket Dünya’ya doğru düşmeye başlar ancak hızının yüksek olması nedeniyle bunun gerçekleşmesi biraz zaman alır. O zamana kadar Dünya biraz hareket eder ve dolayısıyla roket Dünya’ya düşmeyi ıskalar. Ve aynı hızı koruduğu durumda bu süreç devam eder.
Peki bunun astronotların havada neden yüzüyormuş gibi görünmesi ile ilgisi ne? Sebep aslında düşmeleri. Uluslararası Uzay İstasyonu Dünya’nın etrafında saatte yaklaşık 28.000 km’lik bir hızla hareket eder. Bu hız sonucunda, bir ipin ucunda sallanan bir top gibi, dünyanın etrafında dairesel bir yörüngede döner ve gezegenin eğriliğini takip eder. Uluslararası Uzay İstasyonu içinde havada yüzen nesneler görmüşsünüzdür. Aslına bakarsanız onlar da yüzmüyor, düşüyor. Hepsi birlikte düştüğü için mürettebat ve nesneler, uzay aracıyla karşılaştırıldığında yüzüyor gibi görünüyor.
Sonuç olarak
Dünya’nın atmosferini terk edip uzayın derinliklerine seyahat etseniz bile kendinizi yerçekimi tarafından bir gezegene, yıldıza ya da kara deliğe doğru çekilirken bulursunuz. Astronotlar sürekli serbest düşüş halindedir ve bu nedenle mikro yerçekimi ‘ağırlıksızlığını’ deneyimlerler. Mikro yer çekimine bazen “sıfır yer çekimi” denir, ancak bu yanıltıcıdır.














Ağaç şeklinde